
谈到紫砂艺术中的几个高峰,时大彬必定是绕不开的关键人物。时大彬为明代万历至清代顺治年间人,是为后世所公认的制壶大师。2022年1月19日,西泠印社2021年秋季拍卖会将在杭州国际会议中心洲际酒店启幕。......
谈到紫砂艺术中的几个高峰,时大彬必定是绕不开的关键人物。时大彬为明代万历至清代顺治年间人,是为后世所公认的制壶大师。
2022年1月19日,西泠印社2021年秋季拍卖会将在杭州国际会议中心洲际酒店启幕。届时,一件时大彬制紫泥平肩素身壶将亮相于“中国历代紫砂器物暨茶文化专场”。此壶曾于20世纪90年代展出于台北故宫博物院,为“故宫博物院三希堂展”原件。后又展出于“新光三越百货古今茗壶展”,附多次出版,可谓传承有绪之佳品。
据了解,西泠秋拍的预展时间为2022年1月19日至21日,拍卖时间为1月21日至23日。对紫砂壶感兴趣的藏友们有福了,现在就跟随小编来探究大师技艺卓绝之处,一同品赏这件巅峰之作吧!

明时大彬制紫泥平肩素身壶款识:大彬(底款)高8.6厘米长16.6厘米估价待询2021西泠秋拍拍品
出版:
1.《壶中天地》P69,壶中天地杂志社,1991年。
2.《茶与壶》P73,茶与壶杂志社,1993年。
展览:
1.“故宫博物院三希堂展”,中国台北故宫博物院,1990年。
2.“新光三越百货古今茗壶展”,中国台北、台中、台南各新光三越百货,1993年。

出版:《壶中天地》P69,壶中天地杂志社,1991年。

出版:《茶与壶》P73,茶与壶杂志社,1993年。
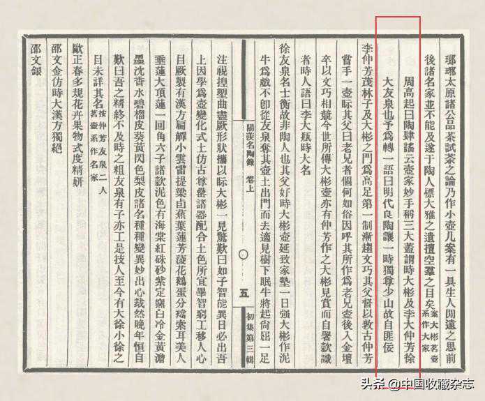
千载一时明代周高起《阳羡茗壶系》将时大彬归为“大家”一流,点评语云:“前后诸家并不能及,遂于陶人标大雅之遗,擅空群之目矣。”乾隆年间,海宁人吴骞在其所撰《阳羡名陶录》中又录得周高起语:“陶肆谣云壶家妙手称三大,盖谓时大彬及李大仲芳徐大友泉也。予为转一语曰明代良陶让一时,独尊少山故自匪佞。”可见,在明清两代,时大彬便已是山巅般的存在。

《阳羡名陶录》中记录周高起语
民国李景康、张虹合编《阳羡砂壶图考》载:“制壶之法,大彬上兼金沙僧龚供春之特长,下垂明清两代之极轨而桃李盈门。多臻绝诣,蔚然开阳羡壶艺之正宗。故嫡传再传弟子咸列大彬之后,谓之正传。譬诸音律,阳春白雪之巧究不若黄钟大吕之雅正耳。”

《阳羡茗壶系》中对时大彬的记录
黄钟大吕之音,当为正道之音,当为传承之音。时大彬在紫砂艺术滥觞之时,异军突起,是偶然也是必然。
顺势而为
明代许次纾在其《茶疏》中对包括瓷壶、银壶及紫砂壶在内的各种材质器物适茶特性进行了对比,并提到了宜兴壶及时大彬:“往时龚春茶壶,近日时彬所制,大为时人宝惜。盖皆以粗砂制之,正取砂无土气耳。”
时大彬所处之年代,正经历饮茶方式深刻变革的时期,延续了数百年的点茶及煎茶方式在明代已渐渐式微,取而代之的散茶冲泡法对茶具的大小、材质及外观要求更高。时大彬顺应了这个趋势,在“游娄东”后“乃作小壶”,却马上使观者达到了“生人闲远之思”的境界。
开宗立派
时大彬在紫砂制作技艺尚不构成体系且鲜少传承的情况下,开宗立派式地推动了紫砂门类的发展。顾景舟先生曾经常说:“自时大彬开始,制作紫砂陶的一整套传统技法,已大体上建立,并传承给以后的各代艺人,这应是时大彬最大的功绩。”
明代周容在《宜兴瓷壶记》中写道:“以寺僧始,止削竹如刃,刳(从中破开再挖空)山土为之。供春更斫(用刀斧砍削)木为模。时悟其法,则又弃模。而所谓削竹如刃者器类增至今日,不啻数十事……良工虽巧,不能徒手而就,必先器具修后制度精。瓷壶以大彬传,几使旊(捏制粘土成器)人折指。”

明时大彬制紫泥平肩素身壶(局部)
时大彬在领悟了金沙寺僧及供春的制壶技法后,完全摒弃了“掏挖”和“借模”的方式,确立了镶身桶、拍身桶、推墙刮底等时至今日仍被沿用的传统技法,可以说是宜兴紫砂数百年发展的奠定者和真正发源者。凭空而起的整套技术体系,并被后世一直沿用,称时大彬为天才,丝毫不为过。

左:本次拍卖之“明时大彬制紫泥平肩素身壶”内部推墻刮底痕迹
右:华师伊墓出土之“大彬款柿蒂文三足壶”内部推墻刮底痕迹(此壶现藏于无锡文管会)
适时破圈
广泛地与文人交游,也是大彬跳脱出传统制壶匠人范畴,成为一代宗师的重要因素。其得以闻“陈眉公(陈继儒)与琅琊太原诸公品茶施茶之论乃作小壶。”陈继儒为明代大儒,能与他们结交并将他们的意见体现在自己的作品之上,无疑为自己作品赋予了更多的文人色彩,达到了“破圈”式的效果。目前,在旧金山亚洲美术博物馆仍藏有时大彬为陈继儒所制白泥瓜棱壶一持,壶底款:“品外居士清赏,己酉重九大彬。”

旧金山亚洲美术博物馆藏“时大彬为陈继儒所制白泥瓜棱壶”
而诸多传世与出土器物也表明了,即便在明代,时大彬制器也已经成为了文人雅士竞相争求的高雅之品。如卢维祯墓出土之“时大彬制款鼎足盖圆壶”,其主人卢维祯为万历年间户部、工部二部侍郎。华师伊墓出土之“大彬款柿蒂文三足壶”,其主人为明代名士华察之孙。

卢维祯墓出土之“时大彬制款鼎足盖圆壶”

华师伊墓出土之“大彬款柿蒂文三足壶”
连明代《阳羡茗壶系》的作者周高起都无奈地说到:“供春大彬诸名壶,价高不易办,予但别其真而旁搜残缺于好事家,用自怡悦,诗以解嘲。”

《阳羡茗壶系》作者周高起对得大彬壶不易之记录
宫中艳说大彬壶在清代,就有“宫中艳说大彬壶,海外竞求鸣远碟”一说,可见时大彬与陈鸣远作品珍贵程度之一斑。陈鸣远作品工艺精绝,技法高超,《阳羡名陶录》载:“鸣远一技之能,间世特出。自百余年来,诸家传器日少,故其名尤噪。”然清初名士汪文柏《陶器行赠陈鸣远》诗云:“荆溪陶器古所无,问谁作者时与徐(时大彬、徐友泉)。泥沙入手经抟埴,光色便与寻常殊。后来众工摹仿皆雷同。陈生一出发巧思,远与二子相争雄。茶具方圆新制作,石泉槐火鏖松风。”可以看出,与陈鸣远为至交的汪文柏,称陈鸣远可与时大彬及其徒弟徐友泉相争雄,而其他众匠均力有不逮。

故宫博物院藏“时大彬制紫砂胎雕漆方壶”
从目前传器看,鸣远制器与大彬制器还是有极大的风格差异的。如果把鸣远壶比作窈窕的淑女,那么大彬壶就是阳刚的勇士。周高起《阳羡茗壶系》云:“凡所制壶不务妍媚,而朴雅坚栗,妙不可思”。时大彬高徒徐友泉曾言:“吾之精,终不及时之粗。”这里的“粗”指的便是终归于简练与磅礴大气的审美。
从目前公认的传器看,大彬光素器、筋囊器皆可信手拈来,皆式度凝练、气韵内敛,似一柄重剑,虽无剑锋,但所到处充满雄厚之剑气,令人望而生畏。正如顾绍培大师所言:“大彬的制壶风格,不求妍媚悦目,而追雄阔气韵,看似稚拙,实为超凡脱俗。明代后期,中国的茶饮风格为之一变,封建士大夫阶层大多追求淡雅不凡的韵致,茶与文化的结合发展到极致。”

明时大彬制紫泥平肩素身壶
《紫韵雅玩》出版“大彬仿古款紫砂壶”一持,容量硕大,气势雄伟,具有典型的明代风韵。在其厚重的包浆下,我们可以清晰地看出胎骨掺以黄色砂粒的质感之美。同样的泥料质感也表现在华师伊墓出土之“大彬款柿蒂文三足壶”、南京博物院藏“天香阁大彬提梁壶”、台北立行堂藏“西园清玩大彬款腰圆提梁壶”、台北立行堂藏“大彬款梅花壶”以及本次拍卖呈现之“时大彬制紫泥平肩素身壶”之上。

《紫韵雅玩》P25,台北天地方圆杂志社,2008年。

《囊中有物·砂趣妙造——立行堂珍藏明清紫砂·上》P32,盈记唐人工艺出版社,2021年。
值得注意的是,“时大彬制紫泥平肩素身壶”不论从盖内气孔的处理、壶盖边缘的修饰以及壶底部落款刻字的方式,均与华师伊墓出土之“大彬款柿蒂文三足壶”有相似之处,甚至有所超越。而壶身肩部的折角又与北京故宫所藏“时大彬款紫泥雕漆四方壶”一致,壶把的曲度与饱满度又与卢维祯墓出土之“时大彬制款鼎足盖圆壶”相类,可谓是时大彬工艺技法的集中呈现。

时大彬制紫泥平肩素身壶与华师伊墓出土之大彬款柿蒂文三足壶盖内结构比较

时大彬制紫泥平肩素身壶与华师伊墓出土之大彬款柿蒂文三足壶底款比较

明时大彬制紫泥平肩素身壶
西泠印社2021年秋季拍卖会
预展时间:2022年1月19日至21日
拍卖时间:2022年1月21日至23日
展拍地点:杭州国际会议中心洲际酒店